Gregorian calendar

In the previous issue we analyze the basis for understanding the organization of the calendar we currently use. As we said, the sunny day and the tropic year – 365 days 5 hours 48 minutes and 47.5 seconds – are the days in which we must carry out this organization. But the development of this latter concept and the measurement of its value are not easy problems, as it requires knowledge of the Earth's movement of precesion. Therefore, ancient civilizations used lunar calendars, that is, based on the cycle of the phases of the Moon, a relatively easy cycle to measure.
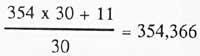
Today we still have an extended example of calendars like that of Muslims. The central unit of this calendar is the month and its duration is best associated with the period of the phases of the Moon. Since this period is 29.530 days and in these calendars the year also has 12 months, the duration of the year should be the closest to 354,367 days. Given this, and since the month must be the whole number of days, the year is organized rotating between the months of 30 and 29 days, this being 354 days.
As the end of the year advances 0.37 days, a cycle of 30 years is carried out, eleven of which the last month passes from 29 to 30 days. Thus, the average duration of each year at the end of the 30-year period

is daily, very similar to the value you need.
But let us return to the problem of the Eguzkitian calendars. Faced with the difficulties we mentioned above, the first sunny calendar acceptable to Julius Caesar. It was the one he published in 46. (Note that this date is given by the origin we currently use for the years, when the origin of Rome was 708). This new calendar, usually called July, was based on the previous Roman calendar and the latter on the ancient Egyptian.
Let's analyze the peculiarities of the Julian calendar. The main problem of Eguzkiti's calendars lies in getting a relationship between days and the tropic year, since its duration is not full days. Taking into account the time data for the duration of the year (365.5 days), when Caesar implemented the reform he created a cycle of 4 years, three of 365 days and the fourth of 366 days to take into account the hours lost in previous occasions.
In addition, the year in which the reform was decreed 90 days were added to correct the gap with respect to the seasons, that is, the beginning of spring, again, coinciding with March 21. (This last measure is of course not an astronomical requirement, but they wanted to keep the previous date.) Later, this year of 455 days was called the year of confusion, but thereafter this calendar was the XVI. The reform that took place in the nineteenth century was used until it was decreed and in some places until much later.
The Julian calendar would need no more reforms if the duration of the tropic year was 365.25 days, but we know it is 11 minutes and 12.5 seconds less. The passage of the years involved the accumulation of these differences and the advance of spring became evident. Celebration of the Council of Nicea (D.C. In 335), since the advance was 3 days, the date was corrected again, but it generated a delay without correcting the error. As we said before, the XVI. The error was ruled out in the 12th century. The Pope, through his team, completed it.
At that time the spring equinox was advanced for 10 days. This delay was not a major problem from the standpoint of normal life. The main reason for the reform was the religious celebration of Easter Sunday. At the Council of Nica, previously mentioned, the Renaissance was related to an astronomical phenomenon; it was decided to celebrate it on a changing date, specifically the Sunday following the first month of the spring equinox. Therefore, due to the advance of equinoculation, Christmas Eve would finally be celebrated in summer. Gregory XIII ordered the reorganization of the calendar to escape this gap.
When the works were completed by the reorganization commission, the Pope decreed the reform on February 24, 1582, through the bulda Inter gravissimas. To coincide with the beginning of spring on 21 March, a measure similar to that adopted at the Council of Nica was taken, the year in which the calendar date was advanced ten days, from Thursday 4 October to Friday 15 October.
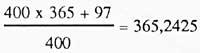
The other measures were 11 minutes ahead of the calendar, etc. thought to correct it. The Julian calendar was dated three days from the Sun in 400 years. It was therefore decided that three years of ordinary visas should be included every 400 years. It was decided to eliminate the following visas to eliminate from the years in which the tissues are multiple: the numbers formed by the first two figures that are not the multiple of the flat. Therefore, multiple fabrics from the year of reform, 1600, 1700, 1800, 1900, 2000, etc. and 1600, 2000, 2400, etc. they are only visas.
Let us now calculate the difference between the year of the Gregorian calendar and the tropic year. After the last reform were eliminated 3 of the 100 years visas that should be in 400 years, that is, in 400 we have 97 visas, so the average duration of the year

is of day. In other words, 365 days 5 hours 49 minutes and 12 seconds. As a result, the difference is only 24.5 seconds. Figure 1 compares the displacements of the spring equinox resulting in Julian and Gregorian calendars. As you can see, the Gregorian is much more precise, but this precision is not as good as the authors of the reform thought. XVI. Astronomers of the twentieth century did not take into account (because then they did not know that effect) that the tropic year is shortening its duration, gradually increasing the advance of equinoculation.
Calendar reform was not immediately approved in all nations. Only those who initially had very good relations with the Church accepted it, although in a few years the rest of the Catholic Peoples were approved. However, the protests of the people were also numerous in these Peoples, and especially the leap of the ten days, which were considered a devastation of power. In Protestant countries, the new calendar was approved with annual and centenary studies. In England and its American colonies, for example, it was decreed in 1752. In Greece, for its part, until 1923 the Julian calendar was used and although this year the Gregorian was established, in 1935 large disturbances were created by those who did not want to accept.
Finally, it should be noted that numerous studies and proposals have been made to replace the Gregorian calendar with another, in order to achieve a more rational system forever and, therefore, a system that should not be calculated annually. Therefore, it would be interesting that a date of the year was always the same day of the week and that the Social Day and other mobile parties were fixed. But the previous sessions have not been successful.
Buletina
Bidali zure helbide elektronikoa eta jaso asteroko buletina zure sarrera-ontzian




